1. 서 론
사물인터넷(IoT) 기술의 확산으로 인해 저전력 미세전자 기기에 대한 수요가 증가하고, 이로 인해 실내 조명 에너지를 전기로 변환하는 기술에 대한 관심도 커지고 있다. 실내 광전지(PV)는 낮은 조도 환경에서 지속 가능하고 효율적인 전력 공급을 가능하게 하는 유망한 솔루션으로 주목받고 있다1, 2). 특히 실내 페로브스카이트 광전지(PePV)는 실내 조명 하에서 40% 이상의 높은 효율을 기록하며 큰 관심을 끌고 있으며, 이는 다양한 광활성 물질을 사용하는 다른 PV 기술을 능가하는 효율이다3). 일반적인 실내 조명 환경에서는 가시광선 범위(400~750 nm)에서 빛을 내는 LED와 형광등(FL) 같은 인공광원이 사용되며, 매우 낮은 강도(<1 mW/cm2)로 빛을 방출한다. PePV는 페로브스카이트 재료의 적절한 밴드갭 덕분에 이러한 가시광선 범위에서 탁월한 성능을 보인다. 예를 들어, 유기-무기 페로브스카이트 유연성 PV가 LED 조명(1000 lx) 아래에서 41.2%의 전력 변환 효율(PCE)을 기록했고, 순수 무기 페로브스카이트 필름 CsPbI3을 1-에틸-3-메틸이미다졸륨 황산염으로 처리해 LED 조명(1000 lx)에서 37.2%의 PCE를 기록했다4, 5).
하지만 PePV 시스템의 뛰어난 효율에도 불구하고 상업화는 수분에 대한 불안정성으로 제한을 받고 있다. 이 문제를 해결하기 위해 페로브스카이트 양자점(PQD)이 유망한 대안으로 주목받고 있다. FAPbI3 PQD는 FAPbI3 페로브스카이트 보다 우수한 안정성이 보고되었다6). FAPbI3 PQD 기반 광전지(PQDPV) 시스템은 대기 조건에서 60일 동안 열화 없이 유지되었다. 반면, FAPbI3 PePV는 초기 효율의 29.5%로 감소되는 열화 현상을 겪었다. PQD의 안정성이 뛰어난 이유는 표면에 유기 리간드가 존재해 물 분자의 접근을 막기 때문이다. 나아가 나노 스케일의 변화는 화학적 잠재력을 바꾸어 안정성을 더욱 높인다. 그러나 PQDPV는 긴 사슬 리간드가 전하 이동성과 전도성을 제한해 기존 페로브스카이트 PV에 비해 낮은 광전류 밀도를 보이는 한계를 가지고 있다.
합성 후 정제된 PQD의 주요 한계 중 하나는 PQD 표면에 남아 있는 절연 리간드가 전하 전달을 제한하는 것이다. 이를 해결하기 위해 여러 연구들은 리간드 교환 기술을 통해 긴 리간드를 짧은 것으로 대체하거나 제거하여 PQD 기반 소자의 효율을 높이려 했다7). 특히 널리 사용되는 층별(LBL) 기술에서는 PQD 층을 순차적으로 쌓고 각 층의 리간드를 교체해 표면 특성을 개선하려는 노력이 이루어지고 있다. 이와 관련해, LBL 이후 리간드 패시베이션 기술이 리간드 교환 과정에서 발생하는 열화를 해결하기 위한 연구가 활발히 진행되고 있다. 패시베이션 물질은 PQD 표면을 재구성하는 데 중요한 역할을 해 리간드 교환으로 인한 열화를 막아준다. PQD 표면에는 ABX3 구조의 A-site와 X-site에 결함이 있으며, 아민은 A-사이트 결함을, 티올과 포스핀은 X-사이트 결함을 채워 PQD 표면을 효과적으로 패시베이션할 수 있다8, 9).
본 연구에서는 아민과 인산기를 작용기를 지닌 (2-(3,6-Dibromo-9H-carbazol-9-yl)ethyl)phosphonic acid (Br-2PACz)를 이용하여 PQD 표면을 페시베이션을 진행하였으며, 이로 인한 소자 특성 변화를 확인하였다.
2. 실험 과정
2.1 PQD 합성 및 정제
본 연구 에서는 PQD 합성 과정은 기존 절차를 바탕으로 약간의 변형을 통해 진행했다7, 10). 먼저, Cs2CO3 0.407 g과 OA 1.25 mL를 20 mL의 ODE를 넣은 100 mL 삼구 플라스크에 담아 세슘 올레이트 용액을 준비하였다. 이 용액은 120°C에서 진공 상태로 1시간 동안 가열 후, N2 가스를 주입하고 140°C로 추가 가열했다. 다른 100 mL 삼구 플라스크에는 PbI2 0.5 g, OA 2.5 mL, OAm 2.5 mL, ODE 25 mL를 넣고 120°C에서 진공(0.1 토르) 상태로 1시간 동안 처리한 뒤, N2 가스로 퍼지한 다음 175°C까지 가열하였다. 목표 온도에 도달하면 세슘 올레이트 용액 2 mL를 빠르게 주입하고, 5초 후 얼음 욕조에 플라스크를 넣어 반응을 정지시켰다.
정제 단계에서는, 조합된 PQD 분산액 15 mL와 MeOAc 35 mL를 혼합한 용액을 8,000 rpm으로 3분간 원심분리하였다. 상층액을 제거하고 남은 PQD는 n-헥산 6 mL에 다시 분산시켰다. 이후 MeOAc 10 mL를 추가하여 PQD 분산액을 다시 8,000 rpm에서 3분간 원심분리하였다. 최종 상층액을 제거한 후 4,000 rpm에서 3분간 원심분리하여 얻어진 PQD는 n-헥산 5 mL에 재분산하였다. 이 분산액은 5°C에서 하룻밤 동안 보관된 후, 4,000 rpm에서 3분간 다시 원심분리하였다. 마지막 상층액은 0.2 μm 주사기 필터로 여과하여 사용 전까지 보관하였다.
2.2 PQDPV 제작
FTO 기판은 탈이온수로 20분, 아세톤으로 20분, 아이소프로판올로 20분간 초음파 세척을 진행하였다. 세척된 기판은 O2 플라즈마 처리를 3분간 진행했다. 이후, 솔-젤 TiO2 용액을 기판에 3,000 rpm에서 30초 동안 스핀 코팅한 다음, 500°C에서 1시간 동안 어닐링했다. TiO2 어닐링 후, 재분산된 CsPbI3 PQD 용액(octane 에 75 mg/mL)을 1,000 rpm에서 10초, 2,000 rpm에서 10초 동안 스핀 코팅했다. 이후 PQD 박막은 Pb(NO3)2 용액(MeOAc에 1 mg/mL)으로 3초 동안 젖힌 뒤 3,000 rpm에서 10초 동안 스핀 드라이를 하고, 순수 MeOAc로 3,000 rpm에서 10초 동안 세척하였다. 원하는 두께(약 300 nm)의 PQD 박막을 형성하기 위해 위 PQD 박막 제조 과정을 4회 반복하였다.
PQD 박막에 Br-2PACz 패시베이션을 수행하기 위해, 박막을 Br-2PACz 용액(EtOAc에 0.3 mg/mL)으로 3초 동안 젖힌 뒤, 3,000 rpm에서 30초 동안 spin drying을 하고, 순수 MeOAc로 3,000 rpm에서 30초 동안 rinsing하였다. PQD 박막 제조와 2PACz 패시베이션 과정은 상대 습도 20~30% 조건에서 진행되었다. 이후, Spiro-OMeTAD 용액 [Spiro-OMeTAD 72.3 mg, 4-tBP 28.8 μL, Li TFSI 용액(ACN에 520 mg/mL) 17.5 μL, 클로로벤젠 1 mL에 혼합]을 PQD 박막 위에 4,000 rpm에서 30초 동안 스핀 코팅하였다. 마지막으로, 약 10-7 hPa의 진공 상태에서 열 증착기를 이용해 패턴화된 MoO3 (10 nm)/Ag (100 nm)을 샘플에 순차적으로 증착하였다. 조리개 마스크로 정의된 활성 면적은 0.045 cm2로 측정되었다.
2.3 PQDPV 특성 확인
J–V 특성은 K730 프로그램(맥사이언스, 대한민국)으로 제어되는 소스 미터(2401, Keithley Instruments, 미국)로 측정하였다. 모든 J–V 측정은 고정된 조건에서 진행되었으며(스캔 속도 0.2 V/s; 역 바이어스는 1.5 V에서 −0.2 V, 순 바이어스는 −0.2 V에서 1.5 V까지 전압을 가하며 측정), 실내광 조건에서 멀티컴포넌트 PQDPV의 특성을 평가하기 위해 형광등 (FL, OSRAM DUL-UXSTAR STICK 11 W).을 광원으로 하여 분석하였다. PQDPV의 EQE 스펙트럼은 스펙트럼 태양전지 양자 효율 측정 시스템(K3100, 맥사이언스)을 이용해 얻었다.
3. 실험 결과 및 분석
기존의 핫 인젝션 방법에 따라 CsPbI3 PQDs를 합성한 후 연속적으로 정제하였다. 정제된 PQD 고체는 PV 제작을 준비하기 위해 75 mg/mL의 농도로 octane에 분산되었다. Fig. 1은 소자 제작을 위해 일반적인 층별(LBL) 방법론을 사용한 PQD 박막 증착 과정을 보여준다. 여기서 LBL 방식만 적용한 PQD film을 대조군(control), Br-2PACz 후처리를 진행한 PQD film을 비교군(target)으로 설정하였다.
Fig. 2에 나타난 바와 같이, Br-2PACz 표면 처리가 PQD에 미치는 영향을 조사하기 위해 푸리에 변환 적외선(FT-IR) 분광법을 사용하여 측정을 수행하였다. Control과 비교하여 target의 FT-IR 스펙트럼에서 몇 가지 주요 변화가 관찰되었다. 3,500~3,200 cm-1 영역의 -NH2 및 -OH 그룹 진동 피크가 감소하였으며, 2,800~2,600 cm-1 영역의 -CH3 진동 피크도 감소하는 경향을 보였다. 또한, 1,700 cm-1 부근의 C=O 또는 COO- 피크가 감소한 반면, 1,250 cm-1에서 P=O 결합을 나타내는 새로운 피크가 추가되었다. 이러한 변화는 target의 아민, 인산 및 기타 작용기가 PQD 표면의 세슘 및 아이오딘 공극과 상호작용하여 화학적 조성이 변화하였으며, PQD 표면에 존재하던 기존의 장쇄 리간드(oleylamine과 oleic acid)가 감소하였음을 보여준다.
X-선 회절(XRD)을 통해 PQD 박막의 구조적 특성을 분석하였다. Fig. 3에 나타난 바와 같이, control과 target 박막의 모두 입방상 CsPbI3의 (100), (200), (210) 결정면에 해당하는 뚜렷한 회절 피크를 보였다. 이 피크들은 거의 동일하게 나타나, Br-2PACz 표면 처리 후에도 PQD 박막의 결정 구조가 변하지 않았음을 시사한다. XRD 패턴에서 원하는 결정학적 방향이 유지된 것은 Br-2PACz 처리가 PQD 박막의 결정 격자에 큰 영향을 주지 않았음을 나타낸다.
이후, PV 특성화를 위해 일반적으로 사용되는 셀 구조(유리 기판/FTO/TiO2/CsPbI3 PQD/2,2',7,7'-테트라키스(N,N-디-p-메톡시페닐아민)9,9'-스피로비플루오렌(spiro-OMeTAD)/MoO3/Ag)를 적용하였다. Fig. 4에 있는 단면 주사 전자 현미경(SEM) 이미지에서는 소자 내의 개별 층이 명확히 드러난다.
Br-2PACz 패시베이션 유무에 따른, PQDPV의 광전지 매개변수의 변화를 확인하기 전에 실내광의 입사 광강도를 확인하였다. Fig. 5는 FL 1,000 lux의 방출 스펙트럼을 나타내며, 전체 광강도는 0.3 mW/cm2이다. 다음으로 Fig. 6a와 Table 1에 제시된 바와 같이, 형광등(fluorescent lamp, FL) 1,000 lux 조건에서 control과 target 소자의 J–V 특성을 비교했다.
Table 1.
PV parameters under FL 1,000 lux illumination
| Device | VOC (mV) | JSC (μA/cm2) |
FF (%) |
PCE (%) |
| Control | 968 | 159.5 | 73.9 | 38.0 |
| Target | 995 | 162.4 | 76.2 | 41.0 |
여기서 control 소자는 PCE 36.8 ± 0.9%, FF 73.5 ± 1.6%, JSC 156.0 ± 3.9 µA/cm2, JSC 968 ± 6 mV를 기록한 반면, target 소자는 PCE 40.3 ± 0.6%, FF 76.7 ± 1.0%, JSC 160.3 ± 1.6 µA/cm2, JSC 984 ± 8 mV로 향상된 성능을 보였다. target 소자의 높은 PCE는 JSC와 FF의 유의미한 개선에 기인한 것으로 판단된다. 효율 외에도, 페로브스카이트 상용화의 중요한 요소인 출력 전력 밀도(Pmax)는 약 121.0 μW/cm2로 측정되었으며, 이는 최대 PCE에 해당한다. 이는 Br-2PACz 패시베이션이 소자 성능에 긍정적인 영향을 미친다는 것을 시사한다. 다음 섹션에서는 Br-2PACz 패시베이션이 PQDPV 성능에 미치는 영향을 평가하기 위해 광전지 매개변수를 분석한다.
Fig. 6b는 각 소자의 외부양자효율 (EQE)를 나타내며 식 (1)을 통해 FL 1,000 lux 환경에서 각 소자의 파장별 photon flux를 구할 수 있다.여기서 q는 기본 전하를 나타내며, Nλ(λ)는 (Eλ × λ) / hc로 계산된다. 이때 Eλ는 파장 λ의 함수인 스펙트럼 복사조도(W m-2 nm-1)이다. FL 1,000 lux에서의 각 소자별 photon flux와 통합 JSC는 Fig. 6c가 보여준다.
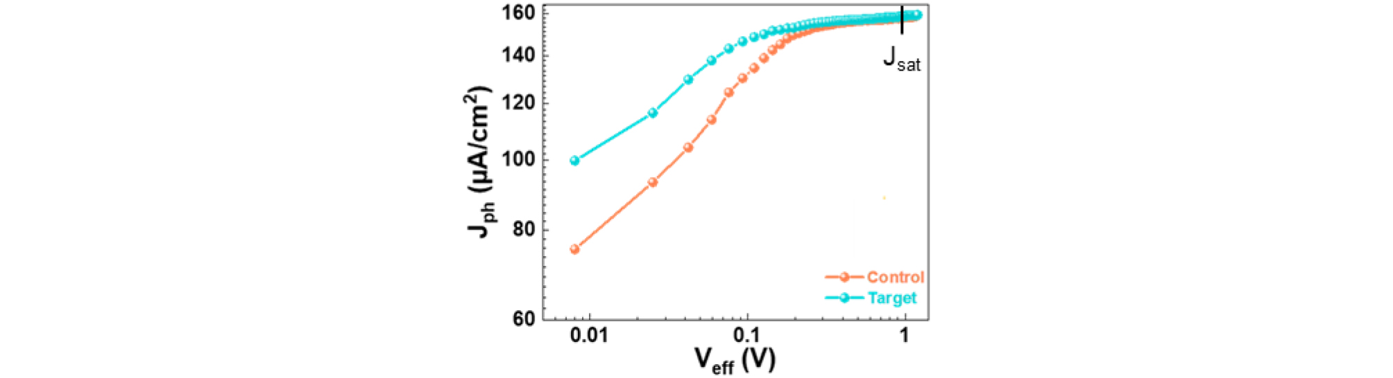
PQDPVs에서 여기된 엑시톤의 해리 특성을 관찰하기 위해 최대 전하 생성률(Gmax)이 측정되었다. 포화 전류 밀도(Jsat)는 최대 Gmax에 의해 제한된다.
식 (2)에 따르면, Jsat는 기본 전하량 q, 광활성층의 두께 L (SEM이미지를 통해 300 nm임을 확인), 그리고 Gmax의 곱으로 결정된다. FL 1,000 lux 조건에서 Jsat를 기반으로 계산된 Gmax 값은, Fig. 7과 같이 control 및 target 소자 모두에서 Gmax 값이 2.30 × 1027 /m3·s로 계산되었다. 두 소자의 Gmax 값이 유사함에도 불구하고, target 소자는 개선된 FF를 나타냈다. 이러한 FF의 개선은 표면 트랩이 감소하여 target 소자에서 전하 재결합이 줄어들었음을 시사한다. 또한, target 소자가 낮은 트랩 전하 밀도로 인해 전하 포화가 더 빠르게 이루어져 FF 값이 향상된 사실과 일치하여, 우수한 전하 수집 특성을 지녔음을 입증했다.
트랩 상태 감소를 확인하기 위해 Hall only device 에서 공간 전하 제한 전류(SCLC) 측정을 수행했다. Hall only device로 제작되었다. Fig. 8은 어두운 상태에서 Hall only device의 J-V 곡선을 보여준다. 전류-전압 관계에는 세 가지 영역이 있다: 저전압의 오믹 영역은 전류와 전기장 사이의 선형 관계를 나타내며, 중간 전압에서의 트랩-채워진 제한 영역은 트랩이 채워지면서 전류가 급격히 증가하는 것을 나타내며, 고전압에서의 트랩-프리 SCLC 영역은 트랩이 없는 시스템으로, 여기서 전류는 주로 공간 전하 제한 전도 메커니즘에 의해 결정된다. 이러한 세 가지 영역은 전류-전압 관계를 지배하는 근본적인 메커니즘을 이해하고 시스템의 전기적 특성에 대한 통찰력을 제공한다. 다양한 에너지 레벨에 분포된 전하 트랩들은 전기장 강도가 증가함에 따라 점진적으로 채워졌다. 트랩 밀도(Nt)는 식 (3)을 사용하여 추정할 수 있다.
여기서, JTFL은 trap-filled limit voltage를 나타내고, L은 광활성층의 두께, εr은 상대 유전상수, ε0는 진공 유전율(8.854 × 10-12 F/m)을 나타내며, PQD 층의 εr 값은 6.32이다. Fig. 8과 같이, Br-2PACz 패시베이션이 적용된 hall only device는 이를 적용하지 않은 소자에 비해 JTFL이 더 작게 나타났다. JTFL의 감소는 target 소자의 트랩 밀도가 더 낮음을 나타낸다. 구체적으로, target 소자의 Nt는 1.77 × 1016/cm3로 계산되었으며, 이는 control 소자의 Nt 값인 2.52 × 1016/cm3보다 낮았다. 이러한 결과는 Br-2PACz 패시베이션이 PQD광활성층의 트랩 밀도를 효과적으로 감소시킨다는 것을 나타낸다. 이러한 결과는 Br-2PACz 패시베이션이 PQD 소자의 전하 트랩을 효과적으로 줄여, 전하 이동 효율과 PQDPV의 전체적인 성능을 향상시킬 수 있음을 시사한다.
또한, 상대 습도 20~30%의 환경 조건에서 두 소자 각각의 안정성을 평가했다. target 소자는 6일 후 초기 효율의 80% 이상을 유지한 반면, control 소자는 효율이 40% 미만으로 감소했다(Fig. 9). 이러한 수분 안정성의 차이를 확인하기 위해 PQD 박막의 물 접촉각을 측정하였다(Fig. 10). Br-2PACz 패시베이션이 처리되지 않은 PQD박막과 처리된 PQD 박막의 물 접촉각이 각각 58.9°, 77.2°로 나타났다. 이는 carbazole이 Br-2PACz의 방향족 고리가 PQD 표면의 소수성을 증가시켜 수분 안정성이 개선된 결과이다.
4. 결 론
본 연구에서는 Br-2PACz 패시베이션 처리가 CsPbI3 PQD 기반 광전지 시스템의 성능과 안정성에 미치는 영향을 분석하였다. 실험 결과, Br-2PACz 처리가 적용된 소자는 FL 1,000 lux 조건에서 개선된 PCE, JOC, FF 등을 보였으며, 이는 표면 트랩 감소와 전하 재결합 억제로 인한 결과로 해석된다. 또한, 트랩 밀도 감소와 수분 안정성 향상을 통해 소자의 장기적인 신뢰성이 크게 개선되었음을 확인하였다. 특히, Br-2PACz의 carbazole 구조가 PQD표면의 소수성을 증가시켜, 상대 습도 20~30% 조건에서도 초기 효율의 80% 이상을 유지함으로써 수분 안정성을 개선하였다. 이러한 연구 결과는 Br-2PACz 패시베이션이 실내 광전지 응용에 적합한 소자의 성능 향상과 안정성 개선에 중요한 역할을 할 수 있음을 시사한다.












